

Montreal, Québec, Canada, July 7, 2021 – MONARCH MINING CORPORATION (“Monarch” or the “Corporation”) (TSX: GBAR) (OTCQX: GBARF) is pleased to announce additional results from its 2020‒2021 42,500-metre exploration diamond drilling program on its wholly-owned Beaufor Mine gold project, located 20 kilometres east of Val-d’Or, Québec. The results include several high-grade assays, including 119.0 g/t Au over 0.5 m within a wider zone of 18.93 g/t Au over 3.5 m, 56.1 g/t Au over 0.8 m within a wider zone of 29.53 g/t Au over 1.78 m and 45.6 g/t Au over 0.75 m within a wider zone of 27.60 g/t Au over 1.65 m, as Monarch continues to test for potential resources in proximity to the historical mine.
The Beaufor Mine initially began commercial production in the early 1930s and over the years has produced over 1.1 million ounces of gold. The mine is currently on care and maintenance, which has given Monarch an opportunity to drill-test targets throughout the mine area. In June 2020, the Corporation initiated a 42,500-metre diamond drilling program to test two types of targets: the areas around historical high-grade intersections near the existing underground infrastructure, and isolated resource blocks, which are typically defined by a single drill intersection. Both of these “near-mine” targets can often be tested from the existing underground workings, generally by holes less than 200 metres long. Currently, 275 holes are planned or are already being drilled at 25metre centres. If positive results are received, additional holes will be drilled to allow the zones in question to be converted into reserves and included in a future mine plan.
Assay results have been received for a total of 162 holes (19,394 m), representing roughly 46% of the planned metres of drilling. High-grade results previously reported from the program included 783 g/t Au over 0.2 m and 293 g/t Au over 0.5 m (see press release dated October 1, 2020), 35.87 g/t Au over 9.8 m (see press release dated January 19, 2021) and 187 g/t Au over 0.5 m and 151.5 g/t Au over 0.5 m (see press release dated April 29, 2021).
Since the last reported results, the Corporation has drilled 42 additional underground exploration holes (4,928 m). The best results are shown in Table 2 below and illustrated in the attached figures. Several of the holes have multiple intersections due to the stacked nature of the mineralization. The intersection widths reported are core lengths and high-grade intersections have not been capped, as the vein interpretation and statistics have not been finalized for the zones.
Figure 1: Beaufor property recent assay results (longitudinal view looking N)
Figure 2: Beaufor property recent assay results (sectional view looking NW)
Near-mine exploration drilling is ongoing, with four drill rigs underground and one on surface. The focus remains high-grade composites that are open along strike and existing resource blocks that contain sufficient room for expansion. The Corporation is also pleased to report that the exploration drift at the lower-most level of the mine is progressing well and the first drill station has been established. An underground drill has been mobilized to the first station and will start drill-testing the continuity of the mineralization below the lower-most level of the mine this month.
The BBA Inc. mineral resource estimate (MRE) for the Beaufor mine is in progress. This new resource estimate will incorporate much of the current 2020-2021 drilling program and will represent the first block model resource estimate for the Beaufor mine.
“The drill results continue to meet and even beat our expectations,” said Jean-Marc Lacoste, President and Chief Executive Officer of Monarch. “All the pieces of the puzzle put in place since we purchased the Beaufor mine back in 2017, starting with our initial 3D modelling and targeting, followed by a significant near-mine exploration drilling program with consistent high-grade results and our upcoming block model mineral resource estimate, are starting to come together.”
Sampling consists of sawing the drill core into equal halves along its main axis and shipping one of the halves to ALS Canada in Val-d’Or, Quebec, and AGAT Laboratories in Mississauga, Ontario, for assaying. The samples are crushed, pulverized and assayed by fire assay, with atomic absorption finish. Samples exceeding 10.0 g/t Au are re-assayed using the gravity method and samples containing visible gold are assayed using the metallic screen method. Monarch uses a comprehensive QA/QC protocol, including the insertion of standards, blanks and duplicates.
The technical and scientific content of this press release has been reviewed and approved by Christian Tessier, P.Geo., the Corporation’s qualified person under National Instrument 43-101.
About Beaufor
The Beaufor Mine is located within the Bourlamaque Pluton at the eastern contact with the Dubuisson Formation. The Bourlamaque Batholith, a synvolcanic intrusion, is a major geological feature of the Val-d’Or mining camp. It is a quartziferous granodiorite cut by fine-grained diorite dykes. Gold mineralization occurs in veins associated with shear zones dipping moderately south. Mineralization is associated with quartz-tourmaline-pyrite veins resulting from the filling of shear and extension fractures. Gold-bearing veins show a close association with mafic dykes intruding the granodiorite. A National Instrument 43-101 resource estimate for the Beaufor Mine property was prepared for Monarch Mining in December 2020 by Carl Pelletier, P. Geo., InnovExplo Inc., and John Langton, P. Geo., JPL GeoServices Inc. The mineral resource estimate is listed in the table below.
Table 1: 2020 mineral resource estimate for the Beaufor Mine

Mineral Resource Estimate notes:
About Monarch
Monarch Mining Corporation (TSX: GBAR) is a fully integrated mining company that owns four advanced projects, including the fully permitted past-producing Beaufor Mine, which has produced more than 1 million ounces of gold over the last 30 years. Other advanced assets include the Croinor Gold, McKenzie Break and Swanson properties, all located near Monarch’s wholly owned and fully permitted Beacon 750 tpd mill. Monarch owns 28,725 hectares (287 km2) of mining assets in the prolific Abitibi mining camp that host 588,482 ounces of combined measured and indicated gold resources and 329,393 ounces of combined inferred resources.
Forward-Looking Statements
The forward-looking statements in this press release involve known and unknown risks, uncertainties and other factors that may cause Monarch’s actual results, performance and achievements to be materially different from the results, performance or achievements expressed or implied therein. Neither TSX nor its Regulation Services Provider (as that term is defined in the policies of the TSX) accepts responsibility for the adequacy or accuracy of this press release.
Table 2: Beaufor Mine significant assay results

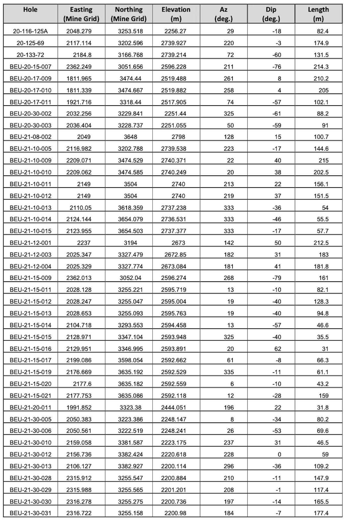
Table 3: Beaufor Mine drill hole location

Table 4: Monarch combined gold resources

President and CEO
1-888-994-4465 x 201
[email protected]
Vice President, Corporate Development
1-888-994-4465
[email protected]